近期,資源與環境學院李成亮教授團隊在《Journal of Environmental Management》在線發表了題為“Effects of straw returning combined with blended controlled-release urea fertilizer on crop yields, greenhouse gas emissions, and net ecosystem economic benefits: A nine-year field trial”的研究論文。李成亮教授為該論文的通訊作者,博士生高永祥為該論文的第一作者,我校山東農業大學為完成該論文的第一單位。
在中國,糧食安全是一個非常重要的問題。從2000年到2015年,中國作物產量增長了46.3%,占全球作物產量的19.9%。雖然糧食產量有所增加,但集約化農業管理也造成了土地退化和溫室氣體的排放,對糧食安全和農業生態系統構成了嚴重威脅。因此,迫切需要優化農藝措施,在提高作物產量的同時減輕環境壓力,這對農業可持續發展至關重要。
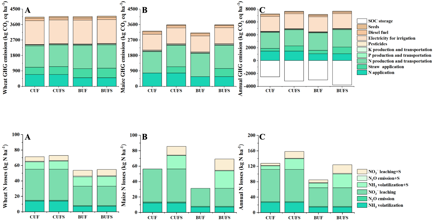
在前期工作的基礎上,該研究基于一項連續9年的田間試驗,并進一步結合生命周期分析(圖1),探究了秸稈還田配施緩控釋肥(BUFS)對作物產量、溫室氣體排放和生態系統效益的影響。

圖1. 冬小麥和夏玉米輪作系統的溫室氣體排放邊界
結果表明,BUFS處理相比秸稈還田配施普通氮肥(CUFS)處理分別顯著提高了小麥和玉米的平均產量14.6%和13.2%,減少了年平均溫室氣體排放總量10.7%(圖2)。此外,雖然BUFS處理相比CUFS處理在一定程度上增加了年平均生態成本9.8%,但其同時增加了凈產量效益20.4%和土壤養分價值22.5%,最終提高了生態系統凈效益23.1%。

圖2. 不同施肥處理下溫室氣體的排放貢獻
綜上所述,本研究從環境和經濟角度為農田管理提供了一些見解。本研究條件下的施肥模式決定了農場管理轉型的潛力和規模,以進一步在保證作物產量的同時,為中國實現碳中和的總體目標做出貢獻。
該研究得到了國家自然科學基金項目的資助。
論文鏈接:
https://doi.org/10.1016/j.jenvman.2024.120633
編 輯:萬 千
審 核:賈 波


