近日,資源與環境學院李成亮教授團隊在Field Crops Research發表了題為“Controlled-release phosphate fertilizer improves soil fertility and soybean productivity by regulating soil microbial diversity and composition and increasing enzyme activities”的研究論文。曲兆鳴副教授為論文第一作者,李成亮教授為論文通訊作者,山東農業大學為論文第一完成單位。
大豆是我國重要的經濟作物,對國家糧食安全起著至關重要的作用。中國是世界四大大豆產區之一,也是世界上最大的大豆消費國。磷作為大豆生長發育所必需的大量營養元素,參與了大豆的許多重要生化過程。常規磷肥的大量施用在提高大豆產量的同時也造成了磷在土壤中的大量積累和環境污染問題。
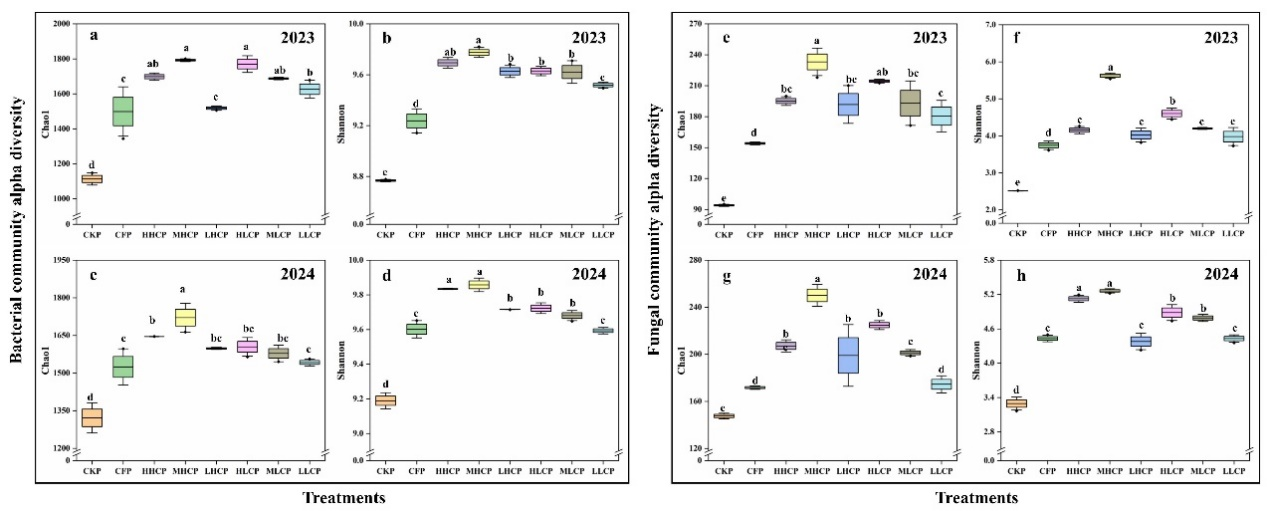
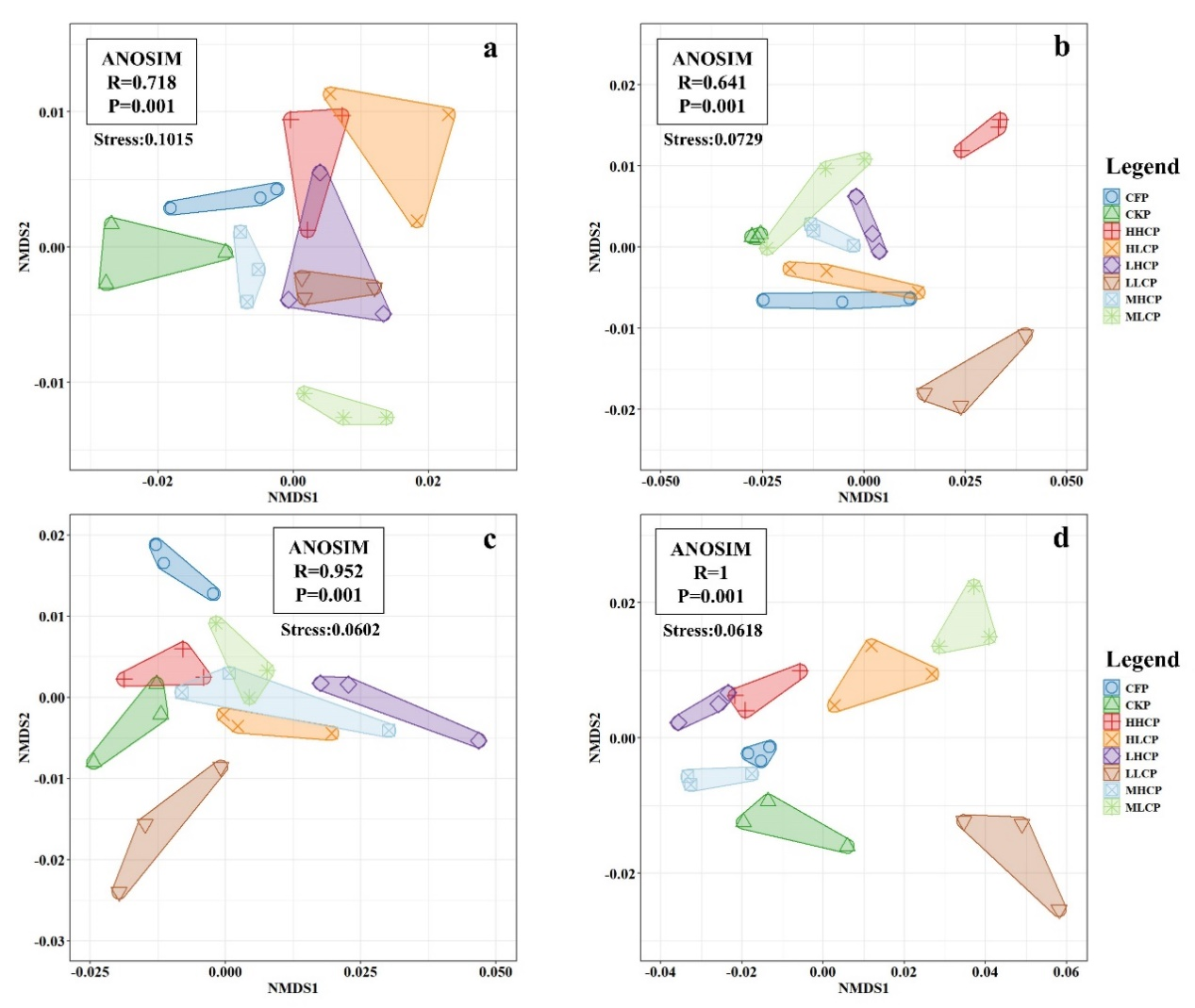
本研究通過兩年田間試驗(2023-2024年),結合16S rRNA和ITS測序技術和結構方程模型(SEM)解析了施用控釋磷肥對土壤微生物、土壤氮-磷循環酶活性、土壤肥力和大豆生產力的影響及其相互作用關系。結果表明,施用控釋磷肥增加了土壤細菌和真菌群落多樣性及有益微生物(Bradyrhizobium,Lysobacter,Sphingomonas和Flavisolibacter)的相對豐度,提高了土壤氮、磷循環酶的活性。在土壤微生物和養分循環酶的作用下,土壤肥力和大豆生產力得到提高。其中,大豆產量提高1.7%~12.9%,大豆磷肥利用效率提高1.1~22.5個百分點。研究結果為磷肥高效利用和大豆可持續生產提供了理論依據和積極貢獻。

圖1 土壤細菌和真菌α多樣性

圖2 土壤細菌和真菌NMDS分析

圖3 土壤微生物與環境的相關性分析(左)和各因素SEM分析(右)
論文鏈接:https://doi.org/10.1016/j.fcr.2025.109836
編 輯:萬 千
審 核:賈 波








