近日,農學院張吉旺教授團隊在《European Journal of Agronomy》在線發表了題為“Responses of canopy functionality, crop growth, and grain yield of summer maize to shading, waterlogging, and their combination stress at different crop stages”的研究論文。胡娟博士、于維禎碩士為該論文的第一作者,張吉旺教授和任佰朝副教授為該論文的通訊作者。
氣候變化導致夏玉米生長季陰雨寡照等氣象災害頻發,且生產中陰(弱光)和雨(澇漬)往往相伴發生,其受害程度因逆境疊加而加劇。以往的研究多在弱光、澇漬單一因素下進行,難以衡量陰(弱光)與雨(澇漬)復合對玉米生產的直接影響。該團隊通過設置不同生育時期淹水、遮陰及遮陰淹水復合脅迫處理,以正常水分管理和自然光照條件為對照,研究弱光、淹水及其復合脅迫對夏玉米冠層功能、作物生長及產量形成的影響,探討弱光、淹水及其復合脅迫導致玉米減產的生理機制。
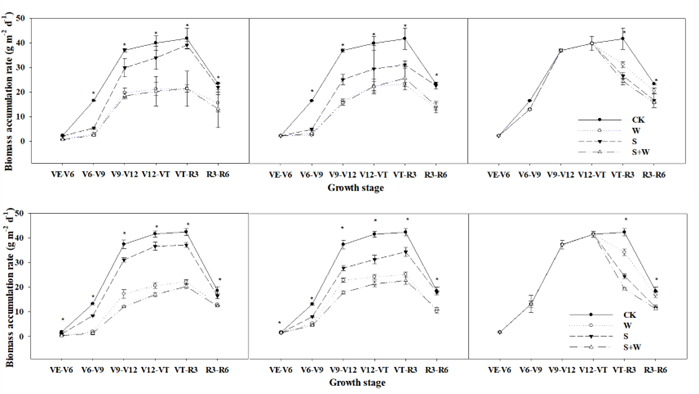
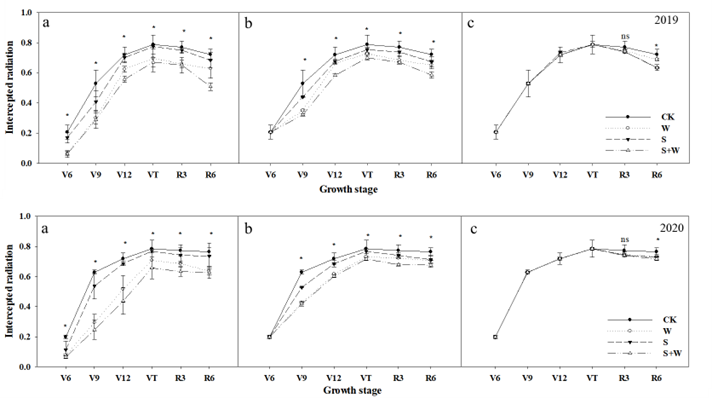
該研究表明,遮陰、淹水及其復合脅迫顯著降低夏玉米葉面積指數,破壞冠層結構和功能,導致光能截獲、光能利用率顯著下降,產量分別降低7.5-27.1%,9.5-34.4%和29.2-39.4%。不同生育階段夏玉米葉片SPAD值、葉面積指數增長動態以及冠層結構和功能對遮陰、淹水及其復合脅迫的響應存在差異,導致不同生育階段脅迫對夏玉米產量的影響程度不一。夏玉米V6-R6階段,尤其VT-R3階段,干物質積累速率與夏玉米穗粒數和千粒重顯著正相關(圖1)。生育前期遮陰對夏玉米光能截獲、光能利用和干物質積累的影響較小,產量降低幅度較低,然而VT時期遮陰顯著降低VT-R3階段的光能利用效率,從而降低干物質積累速率和產量;生育前期淹水對夏玉米葉片SPAD值、葉面積指數和植株形態建成影響顯著,導致各時期干物質積累速率顯著降低,產量下降顯著,而生育后期淹水,夏玉米產量降低幅度較小;生育前期復合脅迫抑制葉片生長發育,降低葉片SPAD值,阻礙夏玉米形態建成,后期降低葉片光能利用效率,從而降低產量,各時期復合脅迫均顯著降低產量(圖2,圖3)。不同生育時期復合脅迫對夏玉米生長發育及產量的影響均大于單一脅迫,但影響幅度小于兩單一脅迫的加和,即遮陰、淹水對夏玉米生長有一定程度的疊加作用。
該研究解析了不同生育時期夏玉米群體光截獲、冠層功能、光能利用效率和生物量積累與分配特性對遮陰、淹水及其復合脅迫的差異響應,對黃淮海地區夏玉米抗逆栽培生產具有重要意義。

圖1. 干物質積累速率與光截獲、光能利用和產量構成因素的相關性分析

圖2. 不同生育時期遮陰、淹水及其復合脅迫對夏玉米光能截獲的影響

圖3. 不同生育時期遮陰、淹水及其復合脅迫對夏玉米干物質積累速率的影響
該研究得到山東省高等學校青創計劃、國家自然科學基金項目、山東省博士后創新計劃、國家現代農業產業技術體系建設專項和國家重點研發計劃的資助。
論文鏈接:https://doi.org/10.1016/j.eja.2023.126761
編 輯:萬 千
審 核:賈 波








